For the following questions answer them individually
The reaction; $$\frac{1}{2}H_{2(g)} + AgCl_{(s)} \rightarrow H^+_{(aq)} + Cl^-_{(aq)} + Ag_{(s)}$$ occurs in which of the following galvanic cell :
For a reaction $$A \xrightarrow{K_1} B \xrightarrow{K_2} C$$. If the rate of formation of $$B$$ is set to be zero then the concentration of $$B$$ is given by :
Identify the incorrect statements about group 15 elements : (A) Dinitrogen is a diatomic gas which acts like an inert gas at room temperature. (B) The common oxidation states of these elements are $$-3, +3$$ and $$+5$$. (C) Nitrogen has unique ability to form $$p\pi - p\pi$$ multiple bonds. (D) The stability of $$+5$$ oxidation states increases down the group. (E) Nitrogen shows a maximum covalency of 6. Choose the correct answer from the options given below :
Given below are two statements : Statement (I) : Fusion of $$MnO_2$$ with KOH and an oxidising agent gives dark green $$K_2MnO_4$$. Statement (II) : Manganate ion on electrolytic oxidation in alkaline medium gives permanganate ion. In the light of the above statements, choose the correct answer from the options given below :
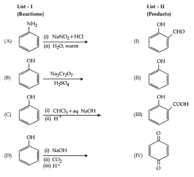
Match List - I with List - II.

Choose the correct answer from the options given below :
Given below are two statements : Statement (I) : $$S_N2$$ reactions are 'stereospecific', indicating that they result in the formation of only one stereo-isomer as the product. Statement (II) : $$S_N1$$ reactions generally result in formation of product as racemic mixtures. In the light of the above statements, choose the correct answer from the options given below :
Which one of the following compounds will readily react with dilute NaOH?
Match List - I with List - II.

Choose the correct answer from the options given below :
Match List - I with List - II.

Choose the correct answer from the options given below :
Given below are two statements : Statement (I) : All the following compounds react with p-toluenesulfonyl chloride. $$C_6H_5NH_2$$, $$(C_6H_5)_2NH$$, $$(C_6H_5)_3N$$. Statement (II) : Their products in the above reaction are soluble in aqueous NaOH. In the light of the above statements, choose the correct answer from the options given below :