For the following questions answer them individually
Given below are two statements : Statement I : $$PF_5$$ and $$BrF_5$$ both exhibit $$sp^3d$$ hybridisation. Statement II : Both $$SF_6$$ and $$[Co(NH_3)_6]^{3+}$$ exhibit $$sp^3d^2$$ hybridisation. In the light of the above statements, choose the correct answer from the options given below :
Match List - I with List - II.

Choose the correct answer from the options given below :
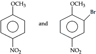
The correct arrangement for decreasing order of electrophilic substitution for above compounds is :
Consider the given reaction, identify the major product "P". $$CH_3 - COOH \xrightarrow{(i) LiAlH_4 \; (ii) PCC \; (iii) HCN/OH^{-} \; (iv) H_2O/OH^{-}, \Delta}$$ "P"

Consider the above chemical reaction. Product "A " is :

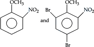
The major products formed A and B respectively are:
Identify the product (A) in the following reaction.
During the detection of acidic radical present in a salt, a student gets a pale yellow precipitate soluble with difficulty in $$NH_4OH$$ solution when sodium carbonate extract was first acidified with dil. $$HNO_3$$ and then $$AgNO_3$$ solution was added. This indicates presence of :
Match List - I with List - II.

Choose the correct answer from the options given below :

The incorrect statements regarding enzymes are : (A) Enzymes are biocatalysts. (B) Enzymes are non-specific and can catalyse different kinds of reactions. (C) Most Enzymes are globular proteins. (D) Enzyme - oxidase catalyses the hydrolysis of maltose into glucose. Choose the correct answer from the option given below :