JEE Current Electricity PYQs
JEE Current Electricity PYQs are an important part of the JEE Physics syllabus. They help you understand the kind of questions asked from this chapter and check how well you know the main concepts, such as electric current, drift velocity, resistance, resistivity, Ohm’s law, electrical power, series and parallel circuits, and Kirchhoff’s laws.
In the exam, current electricity questions usually come as direct numerical problems or simple concept-based questions. The good thing is that this chapter becomes much easier when your basics are clear. Once you understand the concepts properly and know which formula to use, solving questions feels much more manageable. You do not need to think of current electricity as a very difficult chapter. With regular revision and smart practice, it can become one of the more scoring parts of JEE Physics.
In this blog, you will find a simple formula PDF, a section for important JEE Current Electricity PYQs in download format, a few practice questions with answers, and some extra questions to solve on your own. You will also learn about common mistakes students often make and a few simple tips to save time in the exam.
JEE Current Electricity Important PYQs PDF
This PDF can include the most important previous year questions from current electricity. It may cover topics like electric current, current density, drift velocity, Ohm’s law, resistance, resistivity, combination of resistors, cells, emf, internal resistance, Wheatstone bridge, metre bridge, and Kirchhoff’s laws.
Practicing these questions will help you understand the exam pattern better. It will also improve your speed, accuracy, and confidence before the exam.
Important Formulas for JEE Current Electricity PYQs
You only need a few important formulas and ideas to solve most current electricity questions in JEE. These formulas help you understand how current flows, how resistance works, and how to solve circuit-based questions more easily.
You can download the full formula PDF from the link above. Here is a quick look at some of the main formulas:
Concept | Formula |
Electric Current | I = Q/t |
Ohm’s Law | V = IR |
Resistance | R = V/I |
Resistivity | ρ = RA/l |
Current Density | J = I/A |
Drift Velocity | I = nAevd |
Electrical Power | P = VI |
Power in Terms of Current | P = I²R |
Power in Terms of Voltage | P = V²/R |
Series Combination of Resistors | R = R₁ + R₂ + R₃ |
Parallel Combination of Resistors | 1/R = 1/R₁ + 1/R₂ + 1/R₃ |
Terminal Voltage of Cell | V = E − Ir |
These formulas are commonly used in questions based on current, resistance, resistivity, power, circuits, and cells. If you revise them properly, many JEE questions will start to feel much easier.
Top 5 Common Mistakes to Avoid in JEE Current Electricity PYQs
Many students find current electricity confusing at first because it includes both formulas and circuit understanding. But most mistakes happen because small details are missed while solving. Here are some common mistakes you should avoid:
Mixing up resistance and resistivity
Resistance depends on the length, area, and material of the conductor, while resistivity is a property of the material itself. Many students confuse these two terms.
Using the wrong rule for series and parallel combinations
In series, resistances are added directly. In parallel, the reciprocal formula is used. This is one of the most common mistakes in circuit questions.
Ignoring internal resistance of the cell
Some questions involve cells and terminal voltage. If you forget internal resistance, the final answer can become wrong.
Applying Ohm’s law without checking the situation
Ohm’s law works for ohmic conductors under proper conditions. Some students apply it everywhere without first understanding the circuit.
Making mistakes in sign or direction while using Kirchhoff’s laws
In loop and junction questions, direction matters a lot. A small sign mistake can change the whole solution.
List of JEE Current Electricity PYQs
Here is a short set of JEE-style current electricity questions for practice. These include common question types from current, resistance, power, resistivity, and circuit combinations. Solving them regularly can help you become faster and more confident.
Question 1
An electric power line having total resistance of $$2\Omega$$, delivers 1 kW of power at 250 V. The percentage efficiency of transmission line is ____ .
correct answer:- 4
Question 2
A wire of uniform resistance AΩ/m is bent into a circle of radius r and another piece of wire with length 2r is connected between points A and B (AOB) as shown in figure. The equivalent resistance between points A and B is ____Ω .

correct answer:- 4
Question 3
A regular hexagon is fonned by six wires each of resistance $$r \Omega$$ and the corners are joined to the centre by wires of same resistance. If the current enters at one corner and and leaves at. the opposite corner,the equivalent. resistance of the hexagon between the two opposite corners will be
correct answer:- 1
Question 4
The equivalent resistance between the points A and B in the following circuit is $$\frac{x}{5}$$Ω. The value ofx is________.

correct answer:- 21
Question 5
Which of the following resistivity $$(\rho) v/s$$ temperature (T) curves is most suitable to be used in wire bound standard resistors?
correct answer:- 4
Question 6
A wire of resistance $$9\,\Omega$$ is bent to form an equilateral triangle. Then the equivalent resistance across any two vertices will be $$\underline{\hspace{2cm}}\,\Omega.$$
correct answer:- 2
Question 7
A wire of resistance R is bent into an equilateral triangle and an identical wire is bent into a square. The ratio of resistance between the two end points of an edge of the triangle to that of the square is Options.
correct answer:- 3
Question 8
Find the equivalent resistance between two ends of the following circuit

correct answer:- 1
Question 9
The resistances of the platinum wire of a platinum resistance thermometer at the ice point and steam point are 8Ω and 10Ω respectively. After inserting in a hot bath of temperature 400°C, the resistance of platinum wire is:
correct answer:- 3
Question 10
To measure the internal resistance of a battery, potentiometer is used. For R = 10Ω, the balance point is observed at l = 500 cm and for R = 1Ω the balance point is observed at l = 400 cm. The internal resistance of the battery is approximately:
correct answer:- 2
Question 11
In an ammeter, 5% of the main current passes through the galvanometer. If resistance of the galvanometer is G, the resistance of ammeter will be:
correct answer:- 1
Question 12
To measure the temperature coefficient of resistivity $$\alpha$$ of a semiconductor, an electrical arrangement shown in the figure is prepared. The arm BC is made up of the semiconductor. The experiment is being conducted at 25°C and resistance of the semiconductor arm is $$3 \text{ m}\Omega$$. Arm BC is cooled at a constant rate of $$2 \text{ °C s}^{-1}$$. If the galvanometer G shows no deflection after 10 s, then $$\alpha$$ is

correct answer:- 3
Question 13
A wire of resistance $$R$$ and length $$L$$ is cut into $$5$$ equal parts. If these parts are joined parallely, then resultant resistance will be :
correct answer:- 1
Question 14
A wire of length $$10$$ cm and radius $$\sqrt{7} \times 10^{-4}$$ m connected across the right gap of a meter bridge. When a resistance of $$4.5 \; \Omega$$ is connected on the left gap by using a resistance box, the balance length is found to be at $$60$$ cm from the left end. If the resistivity of the wire is $$R \times 10^{-7} \; \Omega$$ m, then value of $$R$$ is :
correct answer:- 3
Question 15
Wheatstone bridge principle is used to measure the specific resistance $$S_1$$ of given wire, having length $$L$$, radius $$r$$. If X is the resistance of wire, then specific resistance is : $$S_1 = X\frac{\pi r^2}{L}$$. If the length of the wire gets doubled then the value of specific resistance will be :
correct answer:- 4
Question 16
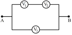
Three voltmeters, all having different internal resistances are joined as shown in figure. When some potential difference is applied across A and B, their readings are $$V_1$$, $$V_2$$ and $$V_3$$. Choose the correct option.

correct answer:- 4
Question 17
The electric current through a wire varies with time as $$I = I_0 + \beta t$$, where $$I_0 = 20$$ A and $$\beta = 3$$ A s$$^{-1}$$. The amount of electric charge crossed through a section of the wire in $$20$$ s is:
correct answer:- 2
Question 18
A galvanometer having coil resistance $$10 \Omega$$ shows a full scale deflection for a current of $$3$$ mA. For it to measure a current of $$8$$ A, the value of the shunt should be:
correct answer:- 3
Question 19
The deflection in moving coil galvanometer falls from $$25$$ divisions to $$5$$ division when a shunt of $$24 \Omega$$ is applied. The resistance of galvanometer coil will be:
correct answer:- 2
Question 20
In the given circuit, the breakdown voltage of the Zener diode is $$3.0$$ V. What is the value of $$I_z$$?

correct answer:- 2
Question 21
An electric toaster has resistance of $$60 \text{ } \Omega$$ at room temperature $$(27°C)$$. The toaster is connected to a $$220 \text{ V}$$ supply. If the current flowing through it reaches $$2.75 \text{ A}$$, the temperature attained by toaster is around: (if $$\alpha = 2 \times 10^{-4} \text{ °C}^{-1}$$)
correct answer:- 3
Question 22
When a potential difference $$V$$ is applied across a wire of resistance $$R$$, it dissipates energy at a rate $$W$$. If the wire is cut into two halves and these halves are connected mutually parallel across the same supply, the energy dissipation rate will become:
correct answer:- 4
Question 23
Two conductors have the same resistances at $$0°C$$ but their temperature coefficients of resistance are $$\alpha_1$$ and $$\alpha_2$$. The respective temperature coefficients for their series and parallel combinations are :
correct answer:- 2
Question 24
By what percentage will the illumination of the lamp decrease if the current drops by 20%?
correct answer:- 3
Question 25
An electric bulb rated $$50$$ W $$- 200$$ V is connected across a $$100$$ V supply. The power dissipation of the bulb is:
correct answer:- 2
Question 26
Two wires $$A$$ and $$B$$ are made up of the same material and have the same mass. Wire $$A$$ has radius of $$2.0$$ mm and wire $$B$$ has radius of $$4.0$$ mm. The resistance of wire $$B$$ is $$2\Omega$$. The resistance of wire $$A$$ is _____ $$\Omega$$.
correct answer:- 32
Question 27
A wire of resistance $$20\Omega$$ is divided into 10 equal parts, resulting pairs. A combination of two parts are connected in parallel and so on. Now resulting pairs of parallel combination are connected in series. The equivalent resistance of final combination is ______ $$\Omega$$.
correct answer:- 5
Question 28
If the radius of earth is reduced to three-fourth of its present value without change in its mass then value of duration of the day of earth will be _________ hours 30 minutes.
correct answer:- 13
Question 29
A wire of resistance $$R$$ and radius $$r$$ is stretched till its radius became $$r/2$$. If new resistance of the stretched wire is $$xR$$, then value of $$x$$ is _______
correct answer:- 16
Question 30
The number of electrons flowing per second in the filament of a $$110 \text{ W}$$ bulb operating at $$220 \text{ V}$$ is : (Given $$e = 1.6 \times 10^{-19} \text{ C}$$)
correct answer:- 4
Question 31
In the given figure an ammeter A consists of a $$240 \Omega$$ coil connected in parallel to a $$10 \Omega$$ shunt. The reading of the ammeter is ___________ mA.

correct answer:- 160
Question 32
Resistance of a wire at $$0°C$$, $$100°C$$ and $$t°C$$ is found to be $$10\Omega$$, $$10.2\Omega$$ and $$10.95\Omega$$ respectively. The temperature $$t$$ in Kelvin scale is ________.
correct answer:- 748
Question 33
Water boils in an electric kettle in 20 minutes after being switched on. Using the same main supply, the length of the heating element should be _____ to _____ times of its initial length if the water is to be boiled in 15 minutes.
correct answer:- 1
Question 34
A potential divider circuit is connected with a dc source of 20 V, a light emitting diode of glow in voltage 1.8 V and a zener diode of breakdown voltage of 3.2 V. The length (PR) of the resistive wire is 20 cm. The minimum length of PQ to just glow the LED is _____ cm

correct answer:- 5
Question 35
A galvanometer has a coil of resistance $$200\Omega$$ with a full scale deflection at $$20\mu A$$. The value of resistance to be added to use it as an ammeter of range $$(0 - 20)$$ mA is :
correct answer:- 2
Question 36

The equivalent resistance between A and B is :
correct answer:- 2
Question 37
The effective resistance between $$A$$ and $$B$$, if resistance of each resistor is $$R$$, will be

correct answer:- 1
Question 38
A nucleus at rest disintegrates into two smaller nuclei with their masses in the ratio of $$2 : 1$$. After disintegration they will move :
correct answer:- 4
Question 39
At room temperature $$(27°C)$$, the resistance of a heating element is $$50\Omega$$. The temperature coefficient of the material is $$2.4 \times 10^{-4} \text{ °C}^{-1}$$. The temperature of the element, when its resistance is $$62\Omega$$, is ______ °C.
correct answer:- 1027
Question 40
To determine the resistance $$(R)$$ of a wire, a circuit is designed below. The $$V - I$$ characteristic curve for this circuit is plotted for the voltmeter and the ammeter readings as shown in figure. The value of $$R$$ is ______ $$\Omega$$.

correct answer:- 2500
Group