NTA JEE Mains 24th january 2023 Shift 1

Instructions

For the following questions answer them individually

NTA JEE Mains 24th january 2023 Shift 1 - Question 41


An ammoniacal metal salt solution gives a brilliant red precipitate on addition of dimethylglyoxime. The metal ion is :

NTA JEE Mains 24th january 2023 Shift 1 - Question 42


Which of the Phosphorus oxoacid can create silver mirror from $$AgNO_3$$ solution?

NTA JEE Mains 24th january 2023 Shift 1 - Question 43


The magnetic moment of a transition metal compound has been calculated to be 3.87 BM. The metal ion is

NTA JEE Mains 24th january 2023 Shift 1 - Question 44


The primary and secondary valencies of cobalt respectively in $$Co(NH_3)_5ClCl_2$$ are:

NTA JEE Mains 24th january 2023 Shift 1 - Question 45


Assertion A: Hydrolysis of an alkyl chloride is a slow reaction but in the presence of NaI, the rate of hydrolysis increases.
Reason R: $$I^-$$ is a good nucleophile as well as a good leaving group.
In the light of the above statements, choose the correct answer from the options given below.

NTA JEE Mains 24th january 2023 Shift 1 - Question 46


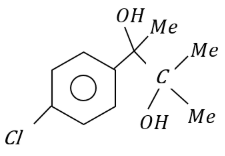
In the following given reaction 'A' is:

image

NTA JEE Mains 24th january 2023 Shift 1 - Question 47


'A' and 'B' formed in the following set of reactions are:

image

NTA JEE Mains 24th january 2023 Shift 1 - Question 48


'R' formed in the following sequence of reaction is:

image

NTA JEE Mains 24th january 2023 Shift 1 - Question 49


Compound X undergoes following sequence of reactions to give the Lactone Y.

image

NTA JEE Mains 24th january 2023 Shift 1 - Question 50


Given below are two statements :
Statement I : Noradrenaline is a neurotransmitter.
Statement II : Low level of noradrenaline is not the cause of depression in human.
In the light of the above statements, choose the correct answer from the options given below

banner

banner
cracku

Boost your Prep!

Download App