For the following questions answer them individually
It is observed that characteristic X-ray spectra of elements show regularity. When frequency to the power 'n' i.e. $$\nu^n$$ of X-rays emitted is plotted against atomic number Z, the following graph is obtained.

The value of 'n' is
Decreasing order of the hydrogen bonding in following forms of water is correctly represented by
A. Liquid water
B. Ice
C. Impure water
Order of Covalent bond;
A.$$KF > KI; LiF > KF$$
B. $$KF < KI; LiF > KF$$
C. $$SnCl_4 > SnCl_2$$; CuCl > NaCl
D. $$LiF > KF; CuCl > NaCl$$
E. $$KF < KI; CuCl > NaCl$$
Match Column I with Column II
Reaction of BeO with ammonia and hydrogen fluoride gives 'A' which on thermal decomposition gives $$BeF_2$$ and $$NH_4F$$. What is 'A' ?
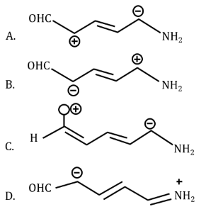
Increasing order of stability of the resonance structure is:
Which of the following is true about freons?
In the depression of freezing point experiment
A. Vapour pressure of the solution is less than that of pure solvent
B. Vapour pressure of the solution is more than that of pure solvent
C. Only solute molecules solidify at the freezing point
D. Only solvent molecules solidify at the freezing point
Statement I: For colloidal particles, the values of colligative properties are of small order as compared to values shown by true solutions at same concentration.
Statement II: For colloidal particles, the potential difference between the fixed layer and the diffused layer of same charges is called the electrokinetic potential or zeta potential.
In the light of the above statements, choose the correct answer from the options given below.
Match List I with List II.