JEE (Advanced) 2023 Paper-1

Instructions

For the following questions answer them individually

JEE (Advanced) 2023 Paper-1 - Question 31


List-I shows different radioactive decay processes and List-II provides possible emitted particles. Match each entry in List-I with an appropriate entry from List-II, and choose the correct option.

List-IList-II
(P)$${}^{238}_{92}U \to {}^{234}_{91}Pa$$(1)one $$\alpha$$ particle and one $$\beta^+$$ particle
(Q)$${}^{214}_{82}Pb \to {}^{210}_{82}Pb$$(2)three $$\beta^-$$ particles and one $$\alpha$$ particle
(R)$${}^{210}_{81}Tl \to {}^{206}_{82}Pb$$(3)two $$\beta^-$$ particles and one $$\alpha$$ particle
(S)$${}^{228}_{91}Pa \to {}^{224}_{88}Ra$$(4)one $$\alpha$$ particle and one $$\beta^-$$ particle
(5)one $$\alpha$$ particle and two $$\beta^+$$ particles

JEE (Advanced) 2023 Paper-1 - Question 32


Match the temperature of a black body given in List-I with an appropriate statement in List-II, and choose the correct option.

[Given: Wien's constant as $$2.9 \times 10^{-3}$$ m-K and $$\frac{hc}{e} = 1.24 \times 10^{-6}$$ V-m]

List-IList-II
(P)2000 K(1)The radiation at peak wavelength can lead to emission of photoelectrons from a metal of work function 4 eV
(Q)3000 K(2)The radiation at peak wavelength is visible to human eye.
(R)5000 K(3)The radiation at peak emission wavelength will result in the widest central maximum of a single slit diffraction.
(S)10000 K(4)The power emitted per unit area is 1/16 of that emitted by a blackbody at temperature 6000 K.
(5)The radiation at peak emission wavelength can be used to image human bones.

JEE (Advanced) 2023 Paper-1 - Question 33


A series LCR circuit is connected to a 45 sin($$\omega t$$) Volt source. The resonant angular frequency of the circuit is $$10^5$$ rad s$$^{-1}$$ and current amplitude at resonance is $$I_0$$. When the angular frequency of the source is $$\omega = 8 \times 10^4$$ rad s$$^{-1}$$, the current amplitude in the circuit is 0.05 $$I_0$$. If $$L = 50$$ mH, match each entry in List-I with an appropriate value from List-II and choose the correct option.

List-IList-II
(P)$$I_0$$ in mA(1)44.4
(Q)The quality factor of the circuit(2)18
(R)The bandwidth of the circuit in rad s$$^{-1}$$(3)400
(S)The peak power dissipated at resonance in Watt(4)2250
(5)500

JEE (Advanced) 2023 Paper-1 - Question 34


A thin conducting rod MN of mass 20 gm, length 25 cm and resistance 10 $$\Omega$$ is held on frictionless, perfectly conducting vertical rails as shown in the figure. There is a uniform magnetic field $$B_0 = 4$$ T directed perpendicular to the plane of the rod-rail arrangement. The rod is released from rest at time t = 0 and it moves down along the rails. Assume air drag is negligible. Match each quantity in List-I with an appropriate value from List-II, and choose the correct option.

[Given: The acceleration due to gravity $$g = 10$$ ms$$^{-2}$$ and $$e^{-1} = 0.4$$]

image
List-IList-II
(P)At $$t = 0.2$$ s, the magnitude of the induced emf in Volt(1)0.07
(Q)At $$t = 0.2$$ s, the magnitude of the magnetic force in Newton(2)0.14
(R)At $$t = 0.2$$ s, the power dissipated as heat in Watt(3)1.20
(S)The magnitude of terminal velocity of the rod in m s$$^{-1}$$(4)0.12
(5)2.00

JEE (Advanced) 2023 Paper-1 - Question 35


The correct statement(s) related to processes involved in the extraction of metals is(are)

JEE (Advanced) 2023 Paper-1 - Question 36


In the following reactions, P, Q, R, and S are the major products.

image

The correct statement(s) about P, Q, R, and S is(are)

JEE (Advanced) 2023 Paper-1 - Question 37


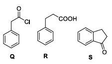
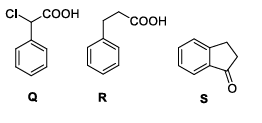
Consider the following reaction scheme and choose the correct option(s) for the major products Q, R and S.

image

JEE (Advanced) 2023 Paper-1 - Question 38


In the scheme given below, X and Y, respectively, are

image

JEE (Advanced) 2023 Paper-1 - Question 39


Plotting $$1/\Lambda_m$$ against $$c\Lambda_m$$ for aqueous solutions of a monobasic weak acid (HX) resulted in a straight line with y-axis intercept of P and slope of S. The ratio P/S is

[$$\Lambda_m$$ = molar conductivity, $$\Lambda_m^\circ$$ = limiting molar conductivity, c = molar concentration, $$K_a$$ = dissociation constant of HX]

JEE (Advanced) 2023 Paper-1 - Question 40


On decreasing the pH from 7 to 2, the solubility of a sparingly soluble salt (MX) of a weak acid (HX) increased from $$10^{-4}$$ mol L$$^{-1}$$ to $$10^{-3}$$ mol L$$^{-1}$$. The pK$$_a$$ of HX is:

banner

banner
cracku

Boost your Prep!

Download App