$$S_1$$ and $$S_2$$ are two identical sound sources of frequency 656 Hz. The source $$S_1$$ is located at O and $$S_2$$ moves anti-clockwise with a uniform speed $$4\sqrt{2}$$ ms$$^{-1}$$ on a circular path around O, as shown in the figure. There are three points P, Q and R on this path such that P and R are diametrically opposite while Q is equidistant from them. A sound detector is placed at point P. The source $$S_1$$ can move along direction OP.
[Given: The speed of sound in air is 324 ms$$^{-1}$$]
When only $$S_2$$ is emitting sound and it is $$Q$$, the frequency of sound measured by the detector in Hz is ____.
Consider both sources emitting sound. When $$S_2$$ is at R and $$S_1$$ approaches the detector with a speed 4 ms$$^{-1}$$, the beat frequency measured by the detector is ____ Hz.
A cylindrical furnace has height (H) and diameter (D) both 1 m. It is maintained at temperature 360 K. The air gets heated inside the furnace at constant pressure $$P_a$$ and its temperature becomes $$T = 360$$ K. The hot air with density $$\rho$$ rises up a vertical chimney of diameter $$d = 0.1$$ m and height $$h = 9$$ m above the furnace and exits the chimney. As a result, atmospheric air of density $$\rho_a = 1.2$$ kg m$$^{-3}$$, pressure $$P_a$$ and temperature $$T_a = 300$$ K enters the furnace. Assume air as an ideal gas, neglect the variations in $$\rho$$ and $$T$$ inside the chimney and the furnace. Also ignore the viscous effects.
[Given: The acceleration due to gravity $$g = 10$$ ms$$^{-2}$$ and $$\pi = 3.14$$]
Considering the air flow to be streamline, the steady mass flow rate of air exiting the chimney is ____ gm s$$^{-1}$$.
When the chimney is closed using a cap at the top, a pressure difference $$\Delta P$$ develops between the top and the bottom surfaces of the cap. If the changes in the temperature and density of the hot air, due to the stoppage of air flow, are negligible then the value of $$\Delta P$$ is ____ Nm$$^{-2}$$.
For the following questions answer them individually
The correct molecular orbital diagram for F$$_2$$ molecule in the ground state is
Consider the following statements related to colloids.
(I) Lyophobic colloids are not formed by simple mixing of dispersed phase and dispersion medium.
(II) For emulsions, both the dispersed phase and the dispersion medium are liquid.
(III) Micelles are produced by dissolving a surfactant in any solvent at any temperature.
(IV) Tyndall effect can be observed from a colloidal solution with dispersed phase having the same refractive index as that of the dispersion medium.
The option with the correct set of statements is
In the following reactions, P, Q, R, and S are the major products.

The correct statement about P, Q, R, and S is
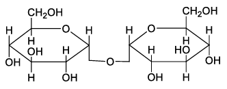
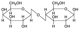
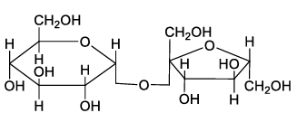
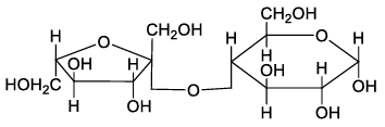
A disaccharide X cannot be oxidised by bromine water. The acid hydrolysis of X leads to a laevorotatory solution. The disaccharide X is
The complex(es), which can exhibit the type of isomerism shown by [Pt(NH$$_3$$)$$_2$$Br$$_2$$], is(are)
[en = H$$_2$$NCH$$_2$$CH$$_2$$NH$$_2$$]
Atoms of metals x, y, and z form face-centred cubic (fcc) unit cell of edge length $$L_x$$, body-centred cubic (bcc) unit cell of edge length $$L_y$$, and simple cubic unit cell of edge length $$L_z$$, respectively.
If $$r_z = \frac{\sqrt{3}}{2}r_y$$; $$r_y = \frac{8}{\sqrt{3}}r_x$$; $$M_z = \frac{3}{2}M_y$$ and $$M_z = 3M_x$$, then the correct statement(s) is (are)
[Given: $$M_x$$, $$M_y$$, and $$M_z$$ are molar masses of metals x, y, and z, respectively. $$r_x$$, $$r_y$$, and $$r_z$$ are atomic radii of metals x, y, and z, respectively.]