Question 3

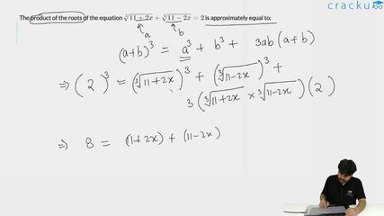
The product of the roots of the equation $$\sqrt[3]{11+2x}+\sqrt[3]{11-2x}=2$$ is approximately equal to:

Cubing the given equation, we have :

$$\left(a+b\right)^3=\ a^3+\ b^3+3\cdot a\cdot b\left(a+b\right)$$

$$11+2x+11-2x+3\cdot\left(11+2x\right)^{\frac{1}{3}}\left(11-2x\right)^{\frac{1}{3}}\left(a+b\right)$$

Given a+b = 2.

Hence :

22 + $$3\cdot\left(11+2x\right)^{\frac{1}{3}}\left(11-2x\right)^{\frac{1}{3}}\left(2\right)$$

= 22 + 6*($$\left(121-4x^2\right)^{\frac{1}{3}}$$) = 8

Cubing this we get: $$121-4x^2=-\frac{343}{27}$$

$$4x^2=\ 121+\frac{343}{27}=\ \frac{3610}{27}$$

$$x^2\ =\ 33.42$$

One root would be $$ +\sqrt{33.42}$$ and the other would be $$-\sqrt{33.42}$$.

The product of the roots would be approximately -33.

Get AI Help?

Video Solution

video

Create a FREE account and get:

  • All Quant Formulas and shortcuts PDF
  • 170+ previous papers with solutions PDF
  • Top 5000+ MBA exam Solved Questions for Free

IIFT Quant Questions | IIFT Quantitative Ability

IIFT DILR Questions | LRDI Questions For IIFT

IIFT Verbal Ability Questions | VARC Questions For IIFT

Join CAT 2026 course by 5-Time CAT 100%iler

Crack CAT 2026 & Other Exams with Cracku!

Ask AI

Ask our AI anything

AI can make mistakes. Please verify important information.