Question 60

Let p and q be inversely proportional and positive. If p increases by 20%, then q decreases by

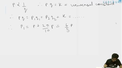
Let $$p=\frac{1}{q}$$

If $$p$$ increases by 20%, => $$p'=\frac{6p}{5}=\frac{6}{5q}$$

Now, $$p'=\frac{1}{q'}$$

=> $$q'=\frac{1}{p'}$$

=> $$q'=\frac{5q}{6}$$

$$\therefore$$ Percentage decrease in $$q=\frac{1}{6}\times100=16\frac{2}{3}\%$$

=> Ans - (D)

Need AI Help?

Video Solution

video

SRCC Quant Questions | SRCC Quantitative Ability

SRCC DILR Questions | LRDI Questions For SRCC

SRCC Verbal Ability Questions | VARC Questions For SRCC

Free SRCC Quant Questions

Join CAT 2026 course by 5-Time CAT 100%iler

Crack CAT 2026 & Other Exams with Cracku!

Ask AI

Ask our AI anything

AI can make mistakes. Please verify important information.