Question 4

Consider the equation $$\log_5(x - 2) = 2 \log_{25}(2x - 4)$$, where x is a real number.
For how many different values of x does the given equation hold?

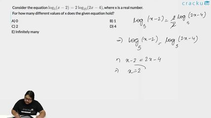
Let's reduce theΒ RHS firstΒ :-$$2 \log_{25}(2x - 4)$$ =Β $$\frac{2}{2}\log_5(2x-4)$$ =Β $$Β \log_{5}(2x - 4)$$

Here we used the formulae $$\log_{a^n}b^m=\frac{m}{n}\log_ab$$

Now LHS=RHS

$$\log_5(x - 2) =Β  \log_{5}(2x - 4)$$

The bases are equal.

So, x-2=2x-4

x=2, but 2 is not in the domain as it will lead to log 0. Hence, there are no solutions for this.

Get AI Help

Video Solution

video

Create a FREE account and get:

  • All Quant Formulas and shortcuts PDF
  • 15 XAT previous papers with solutions PDF
  • XAT Trial Classes for FREE

    Join CAT 2026 course by 5-Time CAT 100%iler

    Crack CAT 2026 & Other Exams with Cracku!

    Ask AI

    Ask our AI anything

    AI can make mistakes. Please verify important information.