Question 32

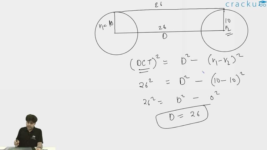
There are two identical circles of radius 10 cm each. If the length of the direct common tangent is 26 cm, then what is the length (in cm) of the transverse common tangent?

Get AI Help

Video Solution

video

Create a FREE account and get:

  • Free SSC Study Material - 18000 Questions
  • 230+ SSC previous papers with solutions PDF
  • 100+ SSC Online Tests for Free

Join CAT 2026 course by 5-Time CAT 100%iler

Crack CAT 2026 & Other Exams with Cracku!

Ask AI

Ask our AI anything

AI can make mistakes. Please verify important information.