Question 82

What is the sum of the factors of the number 3240?

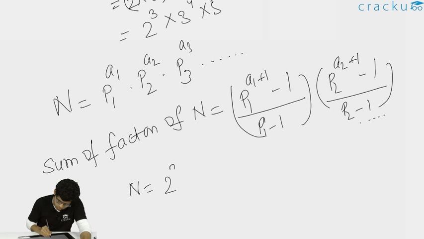
We see that the number 3240 can be factorised into:Β $$3240=2^3\times\ 3^4\times\ 5$$

We use the sum of factors formula:Β 
$$\frac{\left(2^{3+1}-1\right)}{2-1}\times\ \frac{\left(3^{4+1}-1\right)}{3-1}\times\ \frac{\left(5^{1+1}-1\right)}{5-1}$$

$$15\times\ 121\times6$$
10890

Get AI Help

Video Solution

video

Create a FREE account and get:

  • Download Maths Shortcuts PDF
  • Get 300+ previous papers with solutions PDF
  • 500+ Online Tests for Free

Join CAT 2026 course by 5-Time CAT 100%iler

Crack CAT 2026 & Other Exams with Cracku!

Ask AI

Ask our AI anything

AI can make mistakes. Please verify important information.