Question 8

If a, b, and c are all positive integers, with 4a > b, then which of the following conditions is BOTH NECESSARY AND SUFFICIENT for the expression $$\sqrt[3]{(3)^a(21)^{(3a - b)}(49)^{(2b + c)}}$$ to be a positive integer?

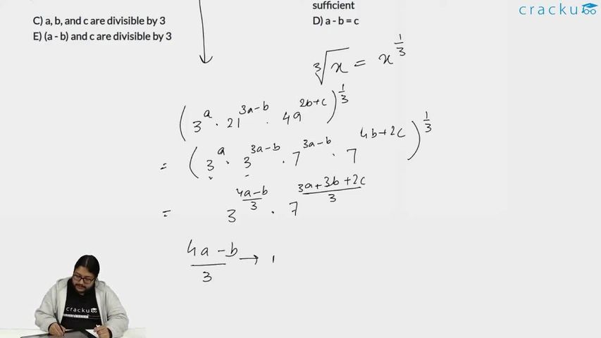
The given expression is,Β Β $$\sqrt[3]{(3)^a(21)^{(3a - b)}(49)^{(2b + c)}}$$ and it can also be written as,

$$\sqrt[3]{(3)^a\ \left(3\right)^{3a\ -\ b}\ \ \left(7\right)^{3a\ -\ b}\ (7)^{4b+2c}}$$Β $$=\ \sqrt[3]{\ \left(3\right)^{4a\ -\ b}\ \ (7)^{3a\ +\ 3b+2c}}$$

For the above expression to be a positive integer, the power of the expression must be an integer after applying the cube root for the expression inside. This means that the power of the expression inside must be a multiple of 3.

The expression is,

$$\sqrt[3]{\ \left(3\right)^{4a\ -\ b}\ \ (7)^{3a\ +\ 3b+2c}}\ =\ 3^{\frac{\left(4a\ -\ b\right)}{3}}\ \times\ 7^{\frac{\left(3a\ +\ 3b\ +\ 2c\right)}{3}}$$

The valueΒ  Β $$\dfrac{4a\ -\ b}{3}=\ \dfrac{3a\ +\ a\ -\ b}{3}\ =\ a\ +\dfrac{a\ -\ b}{3}$$Β  Β must be an integer which means that a - b must be a multiple of 3.

Similarly, the valueΒ Β  $$\dfrac{3a\ +\ 3b\ +\ 2c}{3}=\ a\ +\ b\ +\ \dfrac{2c}{3}$$Β Β  must also be an integer which gives us the condition that c must be a multiple of 3.

So, the necessary and sufficient conditions are a - b and c must be a multiple of 3.

Hence, the correct answer is option E.

Get AI Help

Video Solution

video

Create a FREE account and get:

  • All Quant Formulas and shortcuts PDF
  • 15 XAT previous papers with solutions PDF
  • XAT Trial Classes for FREE

    Join CAT 2026 course by 5-Time CAT 100%iler

    Crack CAT 2026 & Other Exams with Cracku!

    Ask AI

    Ask our AI anything

    AI can make mistakes. Please verify important information.