Question 57

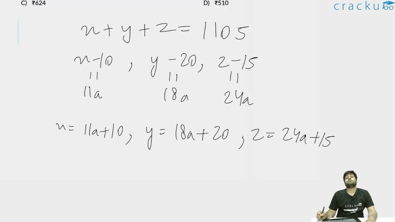
Three Friends Kamal , Vishal, Shaan divide ₹1105 amongst them in such a way that ₹10 ,₹20, ₹15 are removed from the sums that kamal,vikhs and shan received respectively ,then the share of the sums that they got will be in the ratio of 11:18:24.How much did shan receive ?

Let amount with Kamal, Vishal and Shaan after removing the amount is '11x', '18x' and '24x' respectively. 

Now, 

Total amount = (11x + 10) + (18x + 20) + (24x + 15) = 1105

53x = 1060

x = 20

Amount received by Shaan = (24x + 15) = Rs.495

Get AI Help?

Video Solution

video

SRCC Quant Questions | SRCC Quantitative Ability

SRCC DILR Questions | LRDI Questions For SRCC

SRCC Verbal Ability Questions | VARC Questions For SRCC

Free SRCC Quant Questions

Join CAT 2026 course by 5-Time CAT 100%iler

Crack CAT 2026 & Other Exams with Cracku!

Ask AI

Ask our AI anything

AI can make mistakes. Please verify important information.