Question 48

Sam and Ram run a 100 m race. Sam beats Ram by 20 m. Sam gives Ram a head start such that both Ram and Sam will be meeting each other at the 75 m mark. What will be the result of the race?

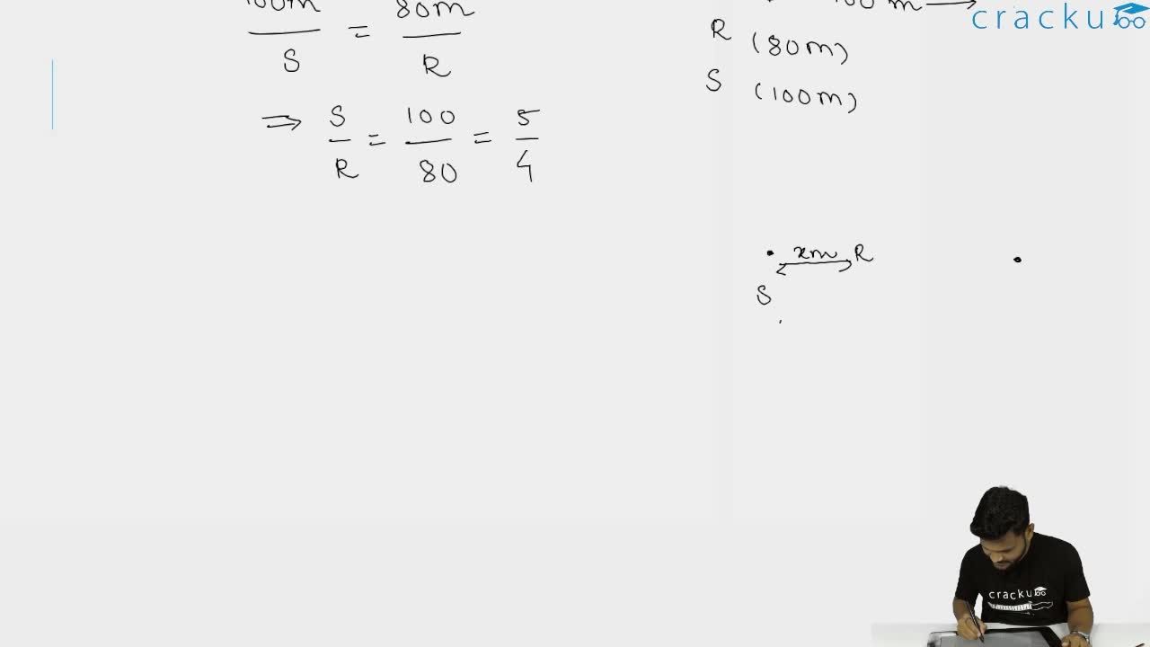
Sam runs 100 m by the time Ram runs 100-20 = 80 m.
Their speeds are in the ratio 5:4

Ram was given by a head start by Sam.
Now, both of them meet at 75 m mark.
Let the head start provided be x m.

(75-x)/4 = 75/5
=> 75-x = 60
x = 15 m.

Ram has to run 85 m. But, by the time he runs 80m, Sam would have completed the race. Therefore, Ram will lost the race by 5m.

Therefore, option A is the right answer.

Get AI Help?

Video Solution

video

Create a FREE account and get:

  • All Quant Formulas and shortcuts PDF
  • 200+ previous papers with solutions PDF
  • Top 5000+ MBA exam Solved Questions for Free

Join CAT 2026 course by 5-Time CAT 100%iler

Crack CAT 2026 & Other Exams with Cracku!

Ask AI

Ask our AI anything

AI can make mistakes. Please verify important information.