Sign in
Please select an account to continue using cracku.in
↓ →
Consider a function $$f(x) = x^4 + x^3 + x^2 + x + 1$$, where x is a positive integer greater than 1. What will be the remainder if $$f(x^5)$$ is divided by f(x)?
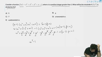
$$x^5-1 = (x-1)(x^4+x^3+x^2+x+1)$$
$$x^5-1=(x-1)f(x)$$
$$x^5 = 1+(x-1)f(x)$$
$$f(x^5) = (1+(x-1)f(x))^4+(1+(x-1)f(x))^3+(1+(x-1)f(x))^2+(1+(x-1)f(x))+1$$
On dividing by $$f(x)$$, every term will leave $$1$$ as the remainder. Therefore, the remainder when $$f(x^5)$$ is divided by $$f(x)$$ is $$1+1+1+1+1=5$$.
Therefore, option A is the right answer.
Click on the Email ☝️ to Watch the Video Solution
Educational materials for CAT preparation
Ask our AI anything
AI can make mistakes. Please verify important information.
AI can make mistakes. Please verify important information.