Join WhatsApp Icon JEE WhatsApp Group
Question 39

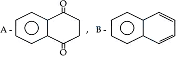
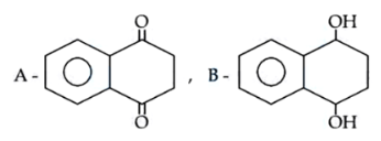
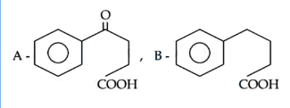
Identify $$A$$ and $$B$$ in the given chemical reaction sequence 

image

Create a FREE account and get:

  • Free JEE Mains Previous Papers PDF
  • Take JEE Mains paper tests

50,000+ JEE Students Trusted Our Score Calculator

Predict your JEE Main percentile, rank & performance in seconds

Ask AI

Ask our AI anything

AI can make mistakes. Please verify important information.