Sign in
Please select an account to continue using cracku.in
↓ →
CAT 2026 Course
Everything you need to crack CAT 2026
XAT Crash Course
MAH-CET Crash Course
CAT+GMAT Course
SNAP Crash Course
SRCC GBO Crash Course
GMAT Course
CMAT Crash Course
CUET PG Crash Course
IPMAT 2026 Course
NMAT Crash Course
GDPI Course
CAT 2027Course
Videos
Live Classes
CAT 2026 Complete Course
Resources
Daily Target
Enroll in CAT 2026 Daily Target
More Practice Materials
Full Length Mock Tests
Try Our Free XAT Mock
Sectional Mock Tests
Previous Year Papers
UG Exams Previous Year Papers
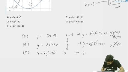
Find the equation of the graph shown below.
y = 3x - 4
y = $$2x^{2}$$ - 40
x = $$2y^{2}$$ - 40
y = $$2x^{2}$$ + 3x - 19
x = $$2y^{2}$$ + 3x - 19
When x = -3, y = -10This is satisfied only in option D.
Hence, option D is the correct answer.
Create a FREE account and get:
XAT Venn Diagrams
XAT Logarithms, Surds and Indices
XAT Progressions and Series
XAT Probability, Combinatorics
XAT Linear Equations
XAT Number Systems
XAT Profit and Loss
XAT Data Sufficiency
XAT Averages, Ratio and Proportion
XAT Functions, Graphs and Statistics
XAT Time, Speed and Distance
XAT Geometry
XAT Inequalities
XAT Quadratic Equations
Terms of Service
Educational materials for CAT preparation