Sign in
Please select an account to continue using cracku.in
↓ →
Join Our JEE Preparation Group
Prep with like-minded aspirants; Get access to free daily tests and study material.
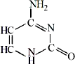
DNA molecule contains 4 bases whose structures are shown below. One of the structures is not correct, identify the incorrect base structure.
Click on the Email ☝️ to Watch the Video Solution
Create a FREE account and get:
Predict your JEE Main percentile, rank & performance in seconds
Educational materials for JEE preparation
Ask our AI anything
AI can make mistakes. Please verify important information.
AI can make mistakes. Please verify important information.