Question 51

Two positive numbers x and y are inversely proportional. If x increases by p %, then y decreases by

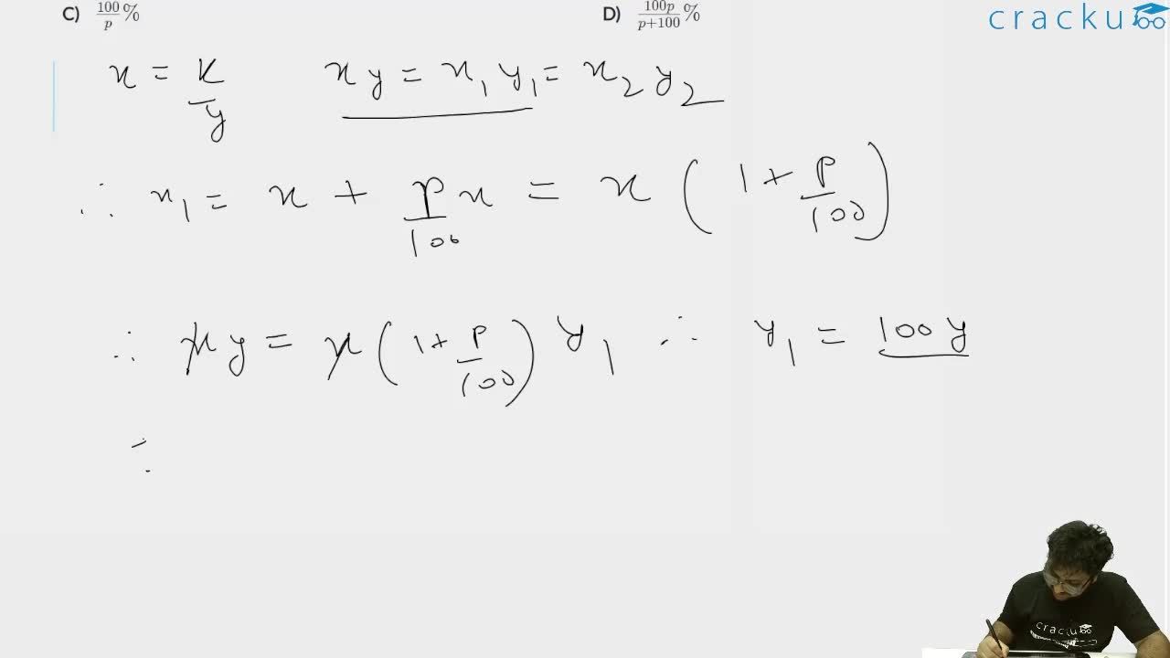
Since x and y are inversely proportional to each other then xy=k

Now x becomesΒ $$x\left(1+\frac{p}{100}\right)$$

Let's say y decreases by "m" percent.Β $$y\left(1-\frac{m}{100}\right)$$

Hence $$x\left(1+\frac{p}{100}\right)y\left(1-\frac{m}{100}\right)=k$$

Now xy=k which cancels "k" from RHS$$\left(1+\frac{p}{100}\right)\left(1-\frac{m}{100}\right)=1$$

$$1-\frac{m}{100}=\frac{100}{100+p}$$

$$1-\frac{100}{100+p}=\frac{m}{100\ }$$

$$\frac{100p}{100+p}=m$$

hence option 4 is the correct answer

Get AI Help

Video Solution

video

SRCC Quant Questions | SRCC Quantitative Ability

SRCC DILR Questions | LRDI Questions For SRCC

SRCC Verbal Ability Questions | VARC Questions For SRCC

Free SRCC Quant Questions

Join CAT 2026 course by 5-Time CAT 100%iler

Crack CAT 2026 & Other Exams with Cracku!

Ask AI

Ask our AI anything

AI can make mistakes. Please verify important information.