For the following questions answer them individually
Given below are two statements:

Statement I: IUPAC name of Compound A is 4-chloro-1,3-dinitrobenzene.

Statement II: IUPAC name of Compound B is 4-ethyl-2-methylaniline. In the light of the above statements, choose the most appropriate answer from the options given below:
In the given compound, the number of $$2°$$ carbon atom/s is _______.
Iron (III) catalyses the reaction between iodide and persulphate ions, in which A. $$Fe^{3+}$$ oxidises the iodide ion B. $$Fe^{3+}$$ oxidises the persulphate ion C. $$Fe^{2+}$$ reduces the iodide ion D. $$Fe^{2+}$$ reduces the persulphate ion. Choose the most appropriate answer from the options given below:
Number of Complexes with even number of electrons in $$t_{2g}$$ orbitals is - $$[Fe(H_2O)_6]^{2+}, [Co(H_2O)_6]^{2+}, [Co(H_2O)_6]^{3+}, [Cu(H_2O)_6]^{2+}, [Cr(H_2O)_6]^{2+}$$
An octahedral complex with the formula $$CoCl_3 \cdot nNH_3$$ upon reaction with excess of $$AgNO_3$$ solution gives 2 moles of $$AgCl$$. Consider the oxidation state of $$Co$$ in the complex is '$$x$$'. The value of "$$x + n$$" is ______
Which among the following compounds will undergo fastest $$S_N2$$ reaction.
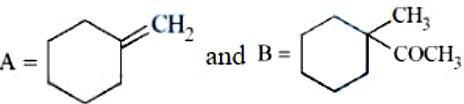
Identify the major products A and B respectively in the following set of reactions.
Identify the product (P) in the following reaction:
Match List I with List II

Choose the correct answer from the options given below:

The incorrect statement regarding the given structure is