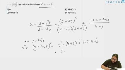
Question 87

$$x=\frac{2+\sqrt{3}}{2-\sqrt{3}}$$ then what is the value of $$x^{2}+x-9$$

Expression : $$x=\frac{2+\sqrt{3}}{2-\sqrt{3}}$$

Rationalizing the denominator,

=> $$x=\frac{2+\sqrt{3}}{2-\sqrt{3}}\times\frac{(2+\sqrt3)}{(2+\sqrt3)}$$

=> $$x=\frac{(2+\sqrt3)^2}{4-3}=(2+\sqrt3)^2$$

=> $$x=4+3+4\sqrt3=7+4\sqrt3$$ ----------(i)

Squaring both sides, we get :

=> $$x^2=(7+4\sqrt3)^2$$

=> $$x^2=49+48+56\sqrt3=97+56\sqrt3$$ --------------(ii)

To find : $$x^{2}+x-9$$

Substituting values from equations (i) and (ii),

= $$(97+56\sqrt3)+(7+4\sqrt3)-9$$

= $$95+60\sqrt3$$

=> Ans - (D)

Get AI Help

Video Solution

video

Create a FREE account and get:

  • Free SSC Study Material - 18000 Questions
  • 230+ SSC previous papers with solutions PDF
  • 100+ SSC Online Tests for Free

Join CAT 2026 course by 5-Time CAT 100%iler

Crack CAT 2026 & Other Exams with Cracku!

Ask AI

Ask our AI anything

AI can make mistakes. Please verify important information.