Question 126

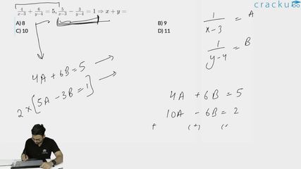
$$\frac{4}{x - 3} + \frac{6}{y - 4} = 5, \frac{5}{x - 3} - \frac{3}{y - 4} = 1 \Rightarrow x + y =$$

we have given thatΒ 

$$\frac{4}{x - 3} + \frac{6}{y - 4} = 5$$Β  equation 1

$$\frac{5}{x - 3} - \frac{3}{y - 4} = 1$$Β  equation 2Β 

nowΒ  Β  2$$\times{equation}$$Β  -Β  equation 1Β 

Β 2{$$\frac{5}{x - 3} - \frac{3}{y - 4} = 1$$}Β  -

Β $$\frac{4}{x - 3} + \frac{6}{y - 4}Β  =Β 5$$

then we get x= 5 put the value of x in equation 1Β 

$$\frac{4}{5 - 3} + \frac{6}{y - 4} = 5$$Β  Β we get y = 6Β 

then x + y = 11Β answerΒ 

Get AI Help

Video Solution

video

Create a FREE account and get:

  • Download Maths Shortcuts PDF
  • Get 300+ previous papers with solutions PDF
  • 500+ Online Tests for Free

Join CAT 2026 course by 5-Time CAT 100%iler

Crack CAT 2026 & Other Exams with Cracku!

Ask AI

Ask our AI anything

AI can make mistakes. Please verify important information.