Question 9

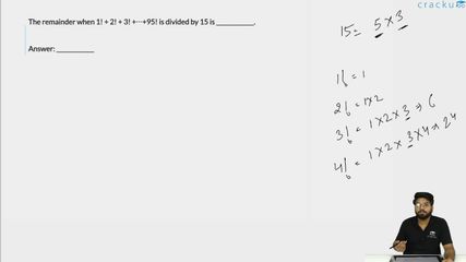
The remainder when 1! + 2! + 3! +∙∙∙+95! is divided by 15 is _____________.


Correct Answer: 3

5! = 120

From 5! on, every next factorial is a factor of 15.

So, the remainder is 1!+2!+3!+4! = 1+2+6+24 = 33

33%15 = 3

Hence, remainder is 3.

Create a FREE account and get:

  • Download Maths Shortcuts PDF
  • Get 300+ previous papers with solutions PDF
  • 500+ Online Tests for Free