Sign in
Please select an account to continue using cracku.in
↓ →
The difference between compound and simple interests on a certain sum of money at the interest rate of 10 % per annum for $$1\frac{1}{2}$$ years is ₹183, when the interest is compounded semi-annually, then the sum of money is :
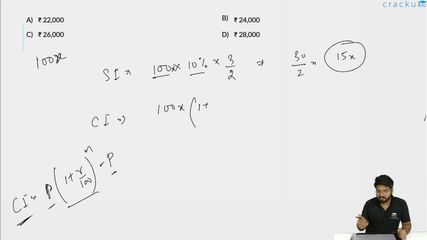
Let the Principal be Rs P
Simple interest = S.I. = $$\dfrac{P\times\ r\times\ t}{100}$$
or, S.I. = $$\dfrac{P\times\ 10\times\ \dfrac{3}{2}}{100}$$ = $$0.15 P$$
(time = $$1\dfrac{1}{2}$$ years = $$\dfrac{3}{2}$$ years)
Now calculating compound interest,
Principal = P
Rate = 10% p.a.
So, when compounded semi annually, rate = $$\left(\dfrac{10}{2}\%\right)$$= $$5\%$$
Also, in duration of $$1\dfrac{1}{2}$$ years, semi annually compounding will occur thrice.
So, compound interest = C.I. = $$P\left(1+\dfrac{5}{100}\right)^3-P$$
Now, according to question,
C.I. - S.I. = 183
So, $$P\left(1+\dfrac{5}{100}\right)^3-P$$ - $$0.15 P$$ = 183
or, $$P\left(1.05\right)^3-P-0.15P=183$$
or, $$0.007625P=183$$
or, $$P=₹24000$$
Click on the Email ☝️ to Watch the Video Solution
Crack IPMAT 2026 with Cracku
Educational materials for IPMAT and IIMB UG preparation
Ask our AI anything
AI can make mistakes. Please verify important information.
AI can make mistakes. Please verify important information.