Sign in
Please select an account to continue using cracku.in
↓ →
Join Our IPMAT Preparation Group
Prep with like-minded aspirants; Get access to free daily tests and study material.
The cost of fencing of an equilateral triangular park and a square park is the same. If the area of the triangular park is $$16\sqrt{3} m^{2} $$, then the length of the diagonal of the square park is :
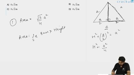
Let the side of equilateral triangle be 'a' cm.
We know, area of an equilateral triangle is given by the formula $$\dfrac{\sqrt{\ 3}}{4}\times\ a^2$$
Now, it is given, $$\dfrac{\sqrt{\ 3}}{4}\times\ a^2=16\sqrt{\ 3}$$
or, $$a^2=16\times\ 4=64$$
or, $$a=8$$
Now, perimeter of this equilateral triangle will be $$3\times\ 8=24$$ m
Now, it is given cost of fencing an equilateral triangular park and a square park is the same.
So, their perimeters will also be same (as cost of fencing depends on perimeter)
So, perimeter of square = 24 m
Now, perimeter of square = 4* side = 24 m
So, side of square = $$\dfrac{24}{4} m=6\ m$$
So, diagonal of the square park = side$$\sqrt{\ 2}$$ m = 6$$\sqrt{\ 2}$$ m.
Click on the Email ☝️ to Watch the Video Solution
Crack IPMAT 2026 with Cracku
Educational materials for IPMAT and IIMB UG preparation
Ask our AI anything
AI can make mistakes. Please verify important information.
AI can make mistakes. Please verify important information.