For the following questions answer them individually
Which of the following statements are correct about Zn, Cd and Hg?
A. They exhibit high enthalpy of atomization as the d-subshell is full.
B. Zn and Cd do not show variable oxidation state while Hg shows +I and +II.
C. Compounds of Zn, Cd and Hg are paramagnetic in nature.
D. Zn, Cd and Hg are called soft metals.
Choose the most appropriate from the options given below:
The correct IUPAC name of $$K_2MnO_4$$ is:
Alkyl halide is converted into alkyl isocyanide by reaction with
Phenol treated with chloroform in presence of sodium hydroxide, which further hydrolysed in presence of an acid results
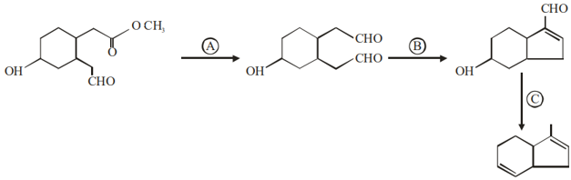
Identify the reagents used for the following conversion
Which of the following reaction is correct?
The product A formed in the following reaction is:
On passing a gas, '$$X$$', through Nessler's reagent, a brown precipitate is obtained. The gas '$$X$$' is
A reagent which gives brilliant red precipitate with Nickel ions in basic medium is
Match List I with List II

Choose the correct answer from the options given below: