NTA JEE Mains 28th Jan 2026 Shift 2

Instructions

For the following questions answer them individually

NTA JEE Mains 28th Jan 2026 Shift 2 - Question 51


Identify the conect statements:
The presence of - $$NO_{2}$$ group in benzene ring
A. activates the ring towards electrophilic substitutions.
B. deactivates the ring towards electrophilic substitutions.
C. activates the ring towards nucleophilic substitutions.
D. deactivates the ring towards nucleophilic substitutions.
choose the correct answer from the options given below :

NTA JEE Mains 28th Jan 2026 Shift 2 - Question 52


The wavelength of photon ' A' is 400 nm. The frequency of photon ' B' is $$10^{16}s^{-1}$$. The wave number of photon 'C is $$10^{4}cm^{-1}$$.The correct order of energy of these photons is :

NTA JEE Mains 28th Jan 2026 Shift 2 - Question 53


A student performed analysis of aliphatic organic compound 'X' which on analysis gave C =61.01 % H =15.25%, N=23.74%.
This compound, on treatment with $$HNO_{2}/H_{2}O$$ produced another compound 'Y' which did not contain any nitrogen atom However, the compound 'Y' upon controlled oxidation produced another compound 'Z' that responded to iodoform test.
The structure of 'X' is :

NTA JEE Mains 28th Jan 2026 Shift 2 - Question 54


which of the following reaction is NOT correctly represented?

NTA JEE Mains 28th Jan 2026 Shift 2 - Question 55


Total number of alkali insoluble solid sulphonamides obtained by reaction of given amines with Hinsberg's reagent is_______.
Aniline, N-Methylaniline, Methanamine, N,N-Dimethylmethanamine, N-Methyl methanamine, Phenylmethanamine, N-propylaniline, N-phenylaniline, N,N-Dimethylaniline, Allyl amine,Isopropyl amine

NTA JEE Mains 28th Jan 2026 Shift 2 - Question 56


The correct increasing o rd e r of spin-only magnetic moment values of the complex ions $$[MnBr_{4}]^{2-}(A),[Cu(H_{2}O)_{6}]^{2+}(B),[Ni(CN)_{4}]^{2-}(C)$$ and $$[Ni(H_{2}O)_{6}]^{2+}(D)$$ is:

NTA JEE Mains 28th Jan 2026 Shift 2 - Question 57


Observe the following equilibrium in a 1 L flask.
$$A(g)\rightleftharpoons B(g)$$
At T(K), the equilibrium concentrations of A and B are 0.5 Mand 0.375 M respectively. 0.1 moles of A is added into the flask and heated to T(K) to establish the equilibrium again. The new equilibrium concentrations (in M) of A and B are respectively

NTA JEE Mains 28th Jan 2026 Shift 2 - Question 58


Given below are two statements :
Statement I : The increasing order of boiling point of hydrogen halides is $$HCl < HBr < HI < HF$$.
Statement II: The increasing order of melting point of hydrogen halides is $$HCl < HBr < HF < HI$$.
In the light of the above statements, choose the correct answer from the options given below :

NTA JEE Mains 28th Jan 2026 Shift 2 - Question 59


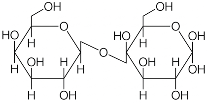
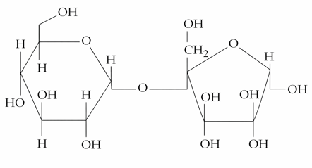
Structures of four disaccharides are given below. Among the given disaccharides, the non-reducing sugar is :

NTA JEE Mains 28th Jan 2026 Shift 2 - Question 60


For the given reaction;
$$CaCO_{3}+2HCl\rightarrow CaCl_{2}+H_{2}O+CO_{2}$$
If 90 g $$CaCO_{3}$$ is added to 300 mL of HCI which contains 38.55% HCI by mass and has density 1.13 g $$mol^{-1}$$, then which of the following option is correct ?
Given molar mass of H, Cl, Ca and Oare 1, 35.5, 40 and 16 g $$mol^{-1}$$ respectively.

banner

banner
cracku

Boost your Prep!

Download App