Join WhatsApp Icon IPMAT WhatsApp Group
Question 3

The number of real solutions of the equation $$(x^2 -15x + 55)^{x^2 - 5x + 6} = 1$$ is:


Correct Answer: 6

We need to find out the number of real solutions of the equation $$(x^2 -15x + 55)^{x^2 - 5x + 6} = 1$$

We can assume that $$x^2-15x+55$$ = $$P$$ and $$x^2-5x+6$$ = $$Q$$

$$P^Q=1$$

There are three possible cases

Case 1: $$P\ =\ 1$$ and $$Q\in\ R$$

$$x^2-15x+55$$ = 1

$$x^2-15x+54$$ = 0

$$\left(x-9\right)\left(x-6\right)=0$$

x = 9 and 6

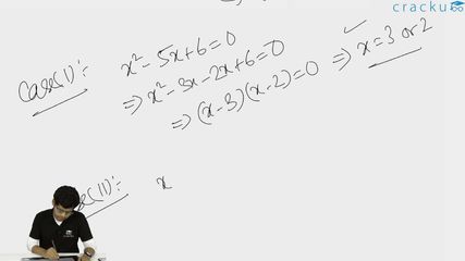
Case 2: $$P\ \in\ R$$ and $$Q\ =0$$

$$x^2-5x+6$$ = 0

x = 2 and 3

Case 3: $$P\ =-1$$ and $$Q\ =$$ even positive power

$$x^2-15x+55$$ = -1

$$x^2-15x+56$$ = 0

x = 8 and 7

When x = 8 and 7 , Q = 30 and 20

Therefore, the number of possible values of x is 6. (9,6,2,3,8,7)

Get AI Help

Video Solution

video

Create a FREE account and get:

  • Download Maths Shortcuts PDF
  • Get 300+ previous papers with solutions PDF
  • 500+ Online Tests for Free

Over 8000+ registered students have benefitted from Cracku's IPMAT Course

Crack IPMAT 2026 with Cracku

Ask AI

Ask our AI anything

AI can make mistakes. Please verify important information.