NTA JEE Mains 29th Jan 2024 Shift 2

Instructions

For the following questions answer them individually

NTA JEE Mains 29th Jan 2024 Shift 2 - Question 11


An electric field is given by $$\left(6\hat{i} + 5\hat{j} + 3\hat{k}\right)$$ N C$$^{-1}$$. The electric flux through a surface area $$30\hat{i}$$ m$$^2$$ lying in YZ-plane (in SI unit) is:

NTA JEE Mains 29th Jan 2024 Shift 2 - Question 12


In the given circuit, the current in resistance $$R_3$$ is:

image

NTA JEE Mains 29th Jan 2024 Shift 2 - Question 13


Two particles $$X$$ and $$Y$$ having equal charges are being accelerated through the same potential difference. Thereafter, they enter normally in a region of uniform magnetic field and describes circular paths of radii $$R_1$$ and $$R_2$$ respectively. The mass ratio of $$X$$ and $$Y$$ is:

NTA JEE Mains 29th Jan 2024 Shift 2 - Question 14


In an a.c. circuit, voltage and current are given by: $$V = 100\sin(100t)$$ V and $$I = 100\sin\left(100t + \frac{\pi}{3}\right)$$ mA respectively. The average power dissipated in one cycle is:

NTA JEE Mains 29th Jan 2024 Shift 2 - Question 15


A plane electromagnetic wave of frequency $$35$$ MHz travels in free space along the $$X$$-direction. At a particular point (in space and time) $$\vec{E} = 9.6\hat{j}$$ V m$$^{-1}$$. The value of magnetic field at this point is:

NTA JEE Mains 29th Jan 2024 Shift 2 - Question 16


If the distance between object and its two times magnified virtual image produced by a curved mirror is $$15$$ cm, the focal length of the mirror must be:

NTA JEE Mains 29th Jan 2024 Shift 2 - Question 17


In Young's double slit experiment, light from two identical sources are superimposing on a screen. The path difference between the two lights reaching at a point on the screen is $$\frac{7\lambda}{4}$$. The ratio of intensity of fringe at this point with respect to the maximum intensity of the fringe is:

NTA JEE Mains 29th Jan 2024 Shift 2 - Question 18


Two sources of light emit with a power of $$200$$ W. The ratio of number of photons of visible light emitted by each source having wavelengths $$300$$ nm and $$500$$ nm respectively, will be:

NTA JEE Mains 29th Jan 2024 Shift 2 - Question 19


Given below are two statements:
Statement I: Most of the mass of the atom and all its positive charge are concentrated in a tiny nucleus and the electrons revolve around it, is Rutherford's model.
Statement II: An atom is a spherical cloud of positive charges with electrons embedded in it, is a special case of Rutherford's model.
In the light of the above statements, choose the most appropriate from the options given below.

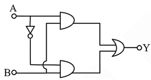
NTA JEE Mains 29th Jan 2024 Shift 2 - Question 20


The truth table for this given circuit is:

image
banner

banner
cracku

Boost your Prep!

Download App