NTA JEE Mains 27th Jan 2024 Shift 2

Instructions

For the following questions answer them individually

NTA JEE Mains 27th Jan 2024 Shift 2 - Question 11


Wheatstone bridge principle is used to measure the specific resistance $$S_1$$ of given wire, having length $$L$$, radius $$r$$. If X is the resistance of wire, then specific resistance is : $$S_1 = X\frac{\pi r^2}{L}$$. If the length of the wire gets doubled then the value of specific resistance will be :

NTA JEE Mains 27th Jan 2024 Shift 2 - Question 12


A current of 200 $$\mu$$A deflects the coil of a moving coil galvanometer through 60°. The current to cause deflection through $$\frac{\pi}{10}$$ radian is

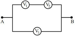
NTA JEE Mains 27th Jan 2024 Shift 2 - Question 13


Three voltmeters, all having different internal resistances are joined as shown in figure. When some potential difference is applied across A and B, their readings are $$V_1$$, $$V_2$$ and $$V_3$$. Choose the correct option.

image

NTA JEE Mains 27th Jan 2024 Shift 2 - Question 14


The primary side of a transformer is connected to 230 V, 50 Hz supply. The turn ratio of primary to secondary winding is 10 : 1. Load resistance connected to the secondary side is 46 $$\Omega$$. The power consumed in it is :

NTA JEE Mains 27th Jan 2024 Shift 2 - Question 15


An object is placed in a medium of refractive index 3. An electromagnetic wave of intensity $$6 \times 10^8$$ W m$$^{-2}$$ falls normally on the object and it is absorbed completely. The radiation pressure on the object would be (speed of light in free space = $$3 \times 10^8$$ m s$$^{-1}$$) :

NTA JEE Mains 27th Jan 2024 Shift 2 - Question 16


When a polaroid sheet is rotated between two crossed polaroids then the transmitted light intensity will be maximum for a rotation of :

NTA JEE Mains 27th Jan 2024 Shift 2 - Question 17


The threshold frequency of a metal with work function 6.63 eV is :

NTA JEE Mains 27th Jan 2024 Shift 2 - Question 18


The atomic mass of $$_6C^{12}$$ is 12.000000 u and that of $$_6C^{13}$$ is 13.003354 u. The required energy to remove a neutron from $$_6C^{13}$$, if mass of neutron is 1.008665 u, will be :

NTA JEE Mains 27th Jan 2024 Shift 2 - Question 19


The truth table of the given circuit diagram is :

image

NTA JEE Mains 27th Jan 2024 Shift 2 - Question 20


Given below are two statements : one is labelled as Assertion (A) and the other is labelled as Reason (R).
Assertion (A) : In Vernier calliper if positive zero error exists, then while taking measurements, the reading taken will be more than the actual reading.
Reason (R) : The zero error in Vernier Calliper might have happened due to manufacturing defect or due to rough handling.
In the light of the above statements, choose the correct answer from the options given below :

banner

banner
cracku

Boost your Prep!

Download App