For the following questions answer them individually
Among following compounds, the number of those present in copper matte is
A. $$CuCO_3$$
B. $$Cu_2S$$
C. $$Cu_2O$$
D. FeO
Given below are two statements : one is labelled as Assertion (A) and the other is labelled as Reason (R).
Assertion (A) : $$Cu^{2+}$$ in water is more stable than $$Cu^+$$.
Reason (R) : Enthalpy of hydration for $$Cu^{2+}$$ is much less than that of $$Cu^+$$.
In the light of the above statements, choose the correct answer from the options given below :
Which element is not present in Nessler's reagent?
The complex cation which has two isomers is:
The spin only magnetic moment of $$[Mn(H_2O)_6]^{2+}$$ complexes is ______ B.M. (Nearest integer)
(Given atomic number of Mn = 25)
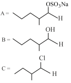
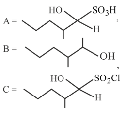
The structures of major products A, B and C in the following reaction are sequence
In a reaction,Â

Reagents 'X' and 'Y' respectively are:
Among the following, the number of tranquilizer/s is/are
A. Chlorodiazepoxide
B. Veronal
C. Valium
D. Salvarsan
All structures given below are of vitamin C. Most stable of them is
Given below are two statements: one is labelled as Assertion (A) and the other is labelled as Reason (R).
Assertion (A): $$\alpha$$-halocarboxylic acid on reaction with dil. $$NH_3$$ gives good yield of $$\alpha$$-amino carboxylic acid whereas the yield of amines is very low when prepared from alkyl halides.
Reason (R): Amino acids exist in zwitter ion form in aqueous medium.
In the light of the above statements, choose the correct answer from the options given below :