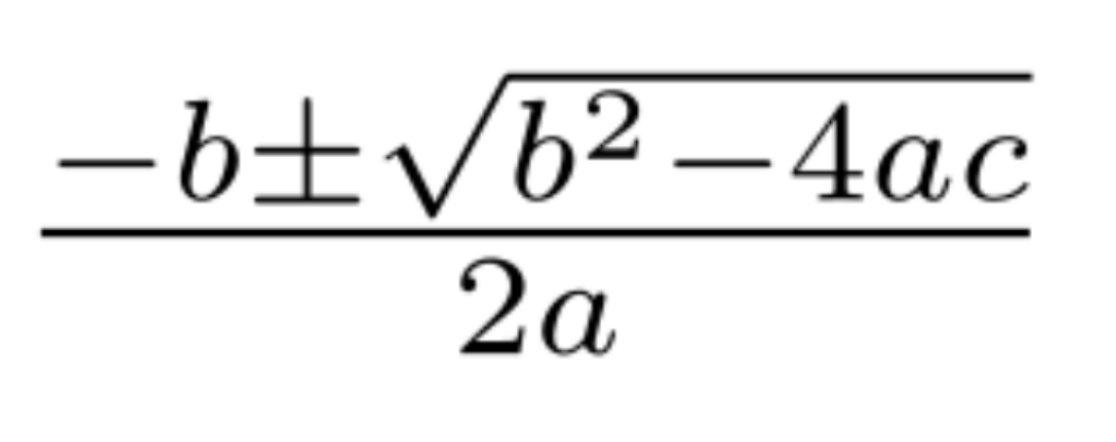
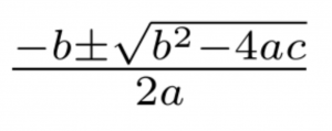
Quadratic formula
Get Exam Updates
Submit Code
skip→
Send
Enter verification code:
Send verification text to phone:
Gave the wrong phone number? Edit Number
MBA – CAT,IIFT,XAT,CMAT
or
Set a different course as default