What is Scaled Score and Percentile in CAT? Imagine giving your best in the CAT exam and then checking your scorecard, only to get confused by terms like raw score, scaled score, and percentile. What do these numbers really mean, and how do they affect your chances of getting into an IIM? This is a common doubt for most students after the exam.
This easy guide will explain everything in a simple way. You’ll understand what a scaled score is, what percentile means, how CAT normalization works, the difference between scaled score and percentile, and how much scaled score is needed for 99, 95, and 90 percentiles. Whether you appeared for CAT 2025 or are preparing for CAT 2026, this guide will help you clearly understand your CAT scorecard.
What Is a Scaled Score in CAT?
A scaled score in CAT is the score you get after your raw marks are adjusted through normalization. Since the CAT exam happens in multiple slots and each slot can be slightly easier or harder, IIMs use normalization to make the scores fair for all students. After this process, your raw score is converted into a scaled score, which is what appears on your scorecard.
Why Scaled Scores Are Used:-
-
Ensures fairness across different exam slots
-
Adjusts for easier or tougher sessions
-
Used for preparing the official CAT percentile list
-
The score shown on your scorecard is the scaled score
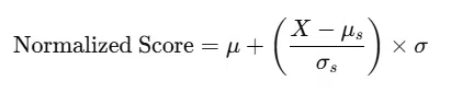
How Is Scaled Score Calculated in CAT?
IIM colleges use a statistical normalization method based on mean and standard deviation of scores from each slot and across all slots.
CAT Scaled Score Formula

Where:
-
X = Your raw score
-
μs = Mean of raw scores for your slot
-
σs = Standard deviation of raw scores for your slot
-
μ = Mean of raw scores across all slots
-
σ = Standard deviation across all slots
This formula adjusts your score based on how your slot performed compared to all other slots.
Also Read, CAT Score vs Percentile 2025, Check Previous Year Analysis
Step-by-Step CAT Normalization Process
- Slot-wise Analysis- IIMs calculate the mean and standard deviation of raw scores for each exam slot separately.
- Overall Analysis- Next, they calculate the overall mean and overall standard deviation across all slots combined.
- Applying the Normalization Formula- Using these slot-wise and overall values, the CAT normalization formula is applied to adjust every candidate’s raw score.
- Generating the Final Scaled Score- After normalization, each student receives a final scaled score, which is shown on the CAT scorecard.
What Is Percentile in CAT?
A percentile in CAT tells you the percentage of candidates who scored less than or equal to your scaled score.
For example, if you get 95 percentile, it means you scored better than 95% of all students who appeared for the exam.
Why Percentile Matters:-
-
IIMs use percentile to shortlist candidates, not raw or scaled scores.
-
Sectional percentiles (VARC, DILR, QA) are used for cutoff eligibility.
-
Your overall percentile decides whether you qualify for IIM interviews (PI/WAT).
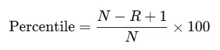
How Is CAT Percentile Calculated?
CAT percentile is calculated using:

Where:
-
N = Total number of students who appeared for CAT
-
R = Your rank based on scaled score
This formula tells how many candidates scored less than you.
Also Read, CAT Cutoff 2025, IIM Colleges Category & Sectional Cut offs
CAT Scaled Score vs Percentile in CAT (Key Differences)
Understanding the difference between a scaled score and a percentile is important because many CAT aspirants mix them up. A scaled score shows your actual score after normalization, while a percentile shows how well you performed compared to other students. Scaled scores appear on your scorecard, but IIMs mainly use percentiles for shortlisting.
If you want to estimate your performance instantly, you can also check our CAT score calculator for a quick prediction of your scaled score and expected percentile.
| Feature | Scaled Score | Percentile |
|---|---|---|
| Definition | Adjusted score after normalization | Rank-based performance indicator |
| Represents | Your actual normalized performance | Your position compared to others |
| Used For | Internal score processing | IIM shortlisting & cutoffs |
| Range | Varies | 0 to 100 |
| Depends On | Slot difficulty + raw score | Performance of all candidates |
How Much Scaled Score Is Needed for 99, 95 & 90 Percentile?
Based on recent trends from CAT 2025, here are approximate scaled score requirements:
CAT Percentile vs Scaled Score (Approximate Analysis)
| Percentile | VARC | DILR | QA | Overall |
|---|---|---|---|---|
| 99 | 40+ | 25–27 | 28–31 | 81–84 |
| 95 | 33–35 | 19–22 | 20–22 | 60–62 |
| 90 | 26–28 | 15–18 | 17–20 | 51–54 |
Note: These values change slightly each year based on exam difficulty and competition.
What is Scaled Score and Percentile in CAT? Conclusion
Understanding scaled scores and percentiles in CAT helps you read your CAT result correctly and plan your MBA admission strategy better. When you know how scoring works, you can set the right targets and prepare more effectively.
If you are preparing for CAT 2026, this is the right time to use this knowledge take good mocks, understand your percentile, and keep improving step by step.